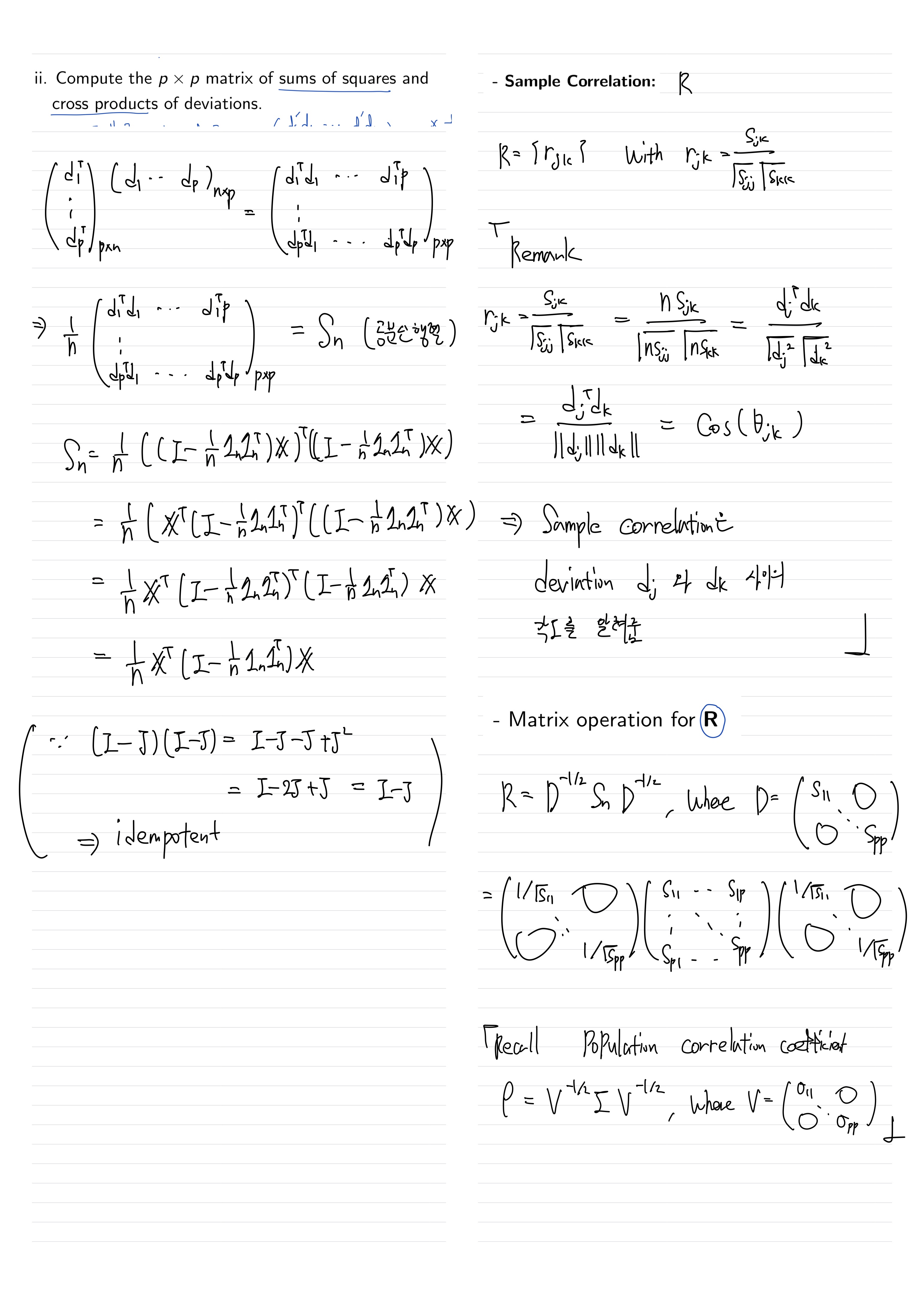
Applied/Multivariate Stat

Chapter 3 : Sample Geometry and Random Sampling

TaeTrix 2023. 3. 18. 23:21