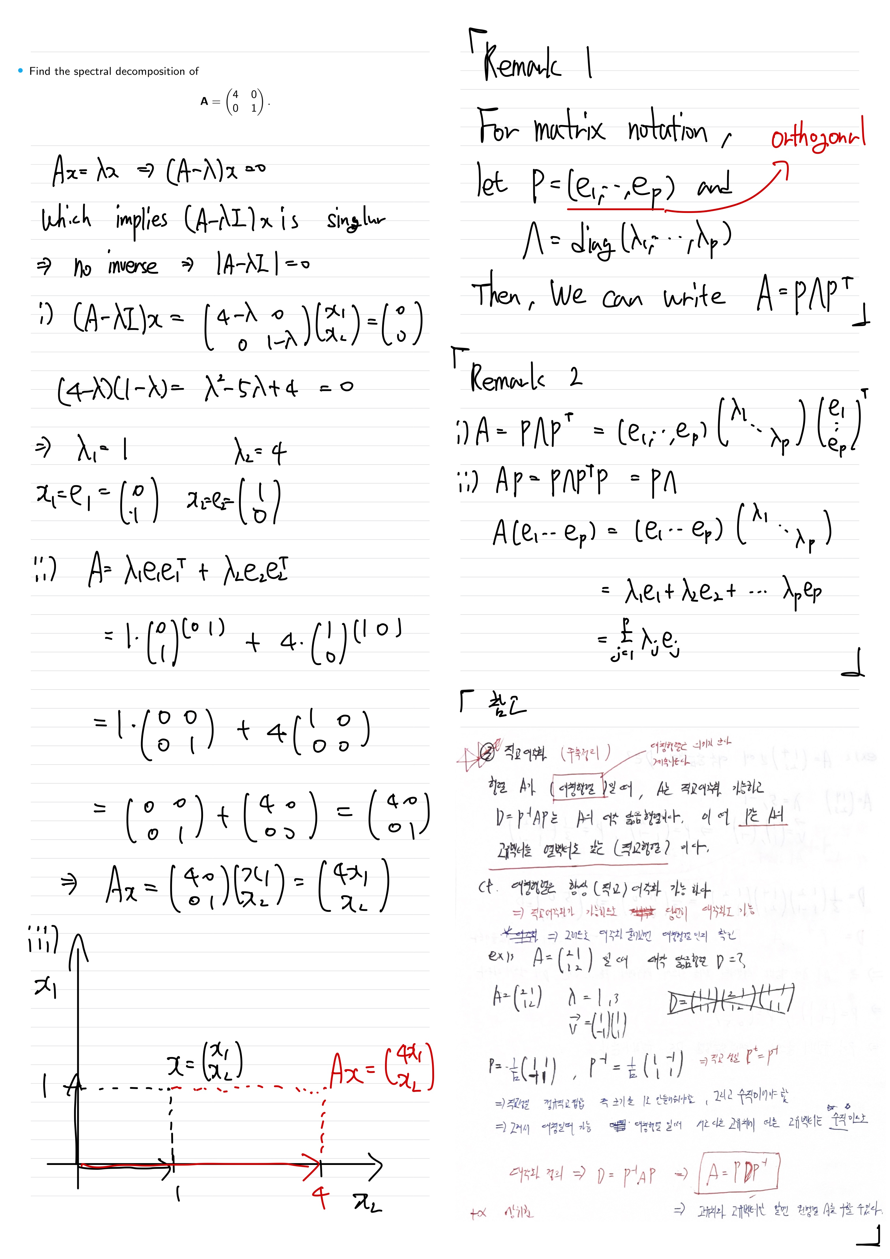
Applied/Multivariate Stat

Chapter 2 : Matrix Algebra and Random Vectors

TaeTrix 2023. 3. 9. 00:31