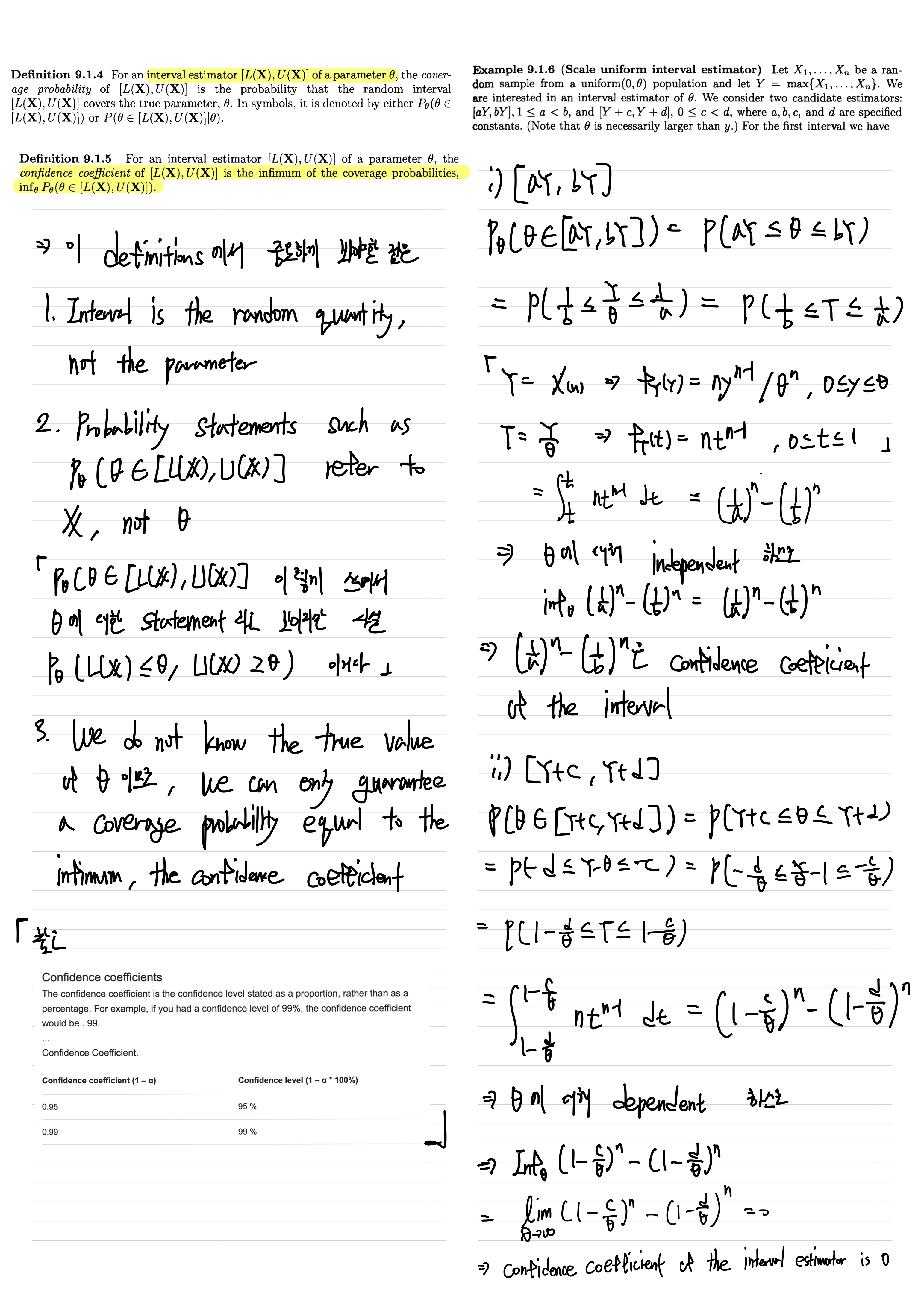
Fundamental/Mathematical Stat
Chapter 9 - 1,2 ) Interval Estimation - Methods of Finding and Methods of Evaluating
TaeTrix
2023. 2. 20. 17:16










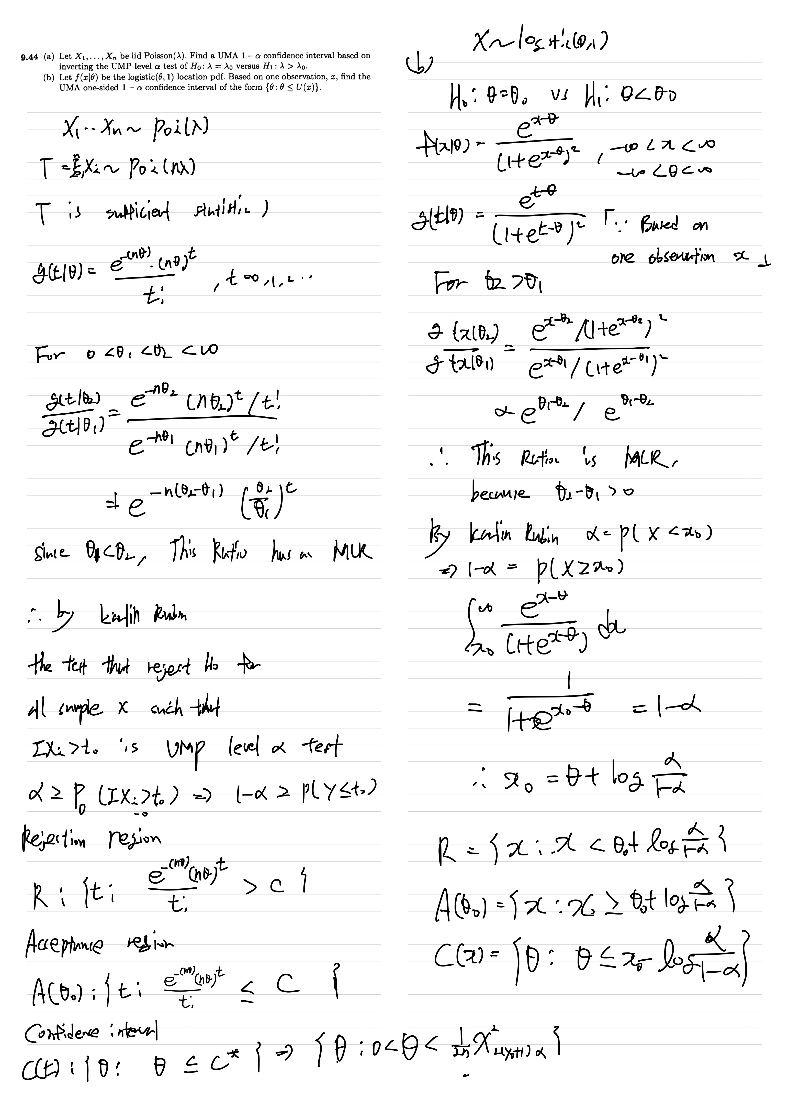
Example Kalin Rubin Theorem

참고
Example. Karlin-Rubin Theorem for Test of Poisson Rate
Illustrate the Karlin-Rubin Theorem and monotone likelihood ratio for an upper-tailed test on the rate of a Poisson.
mediaspace.baylor.edu
http://www.math.nsysu.edu.tw/entrance/graduate/exam/doctor/2009Mathstat.pdf