Fundamental/Linear Regression

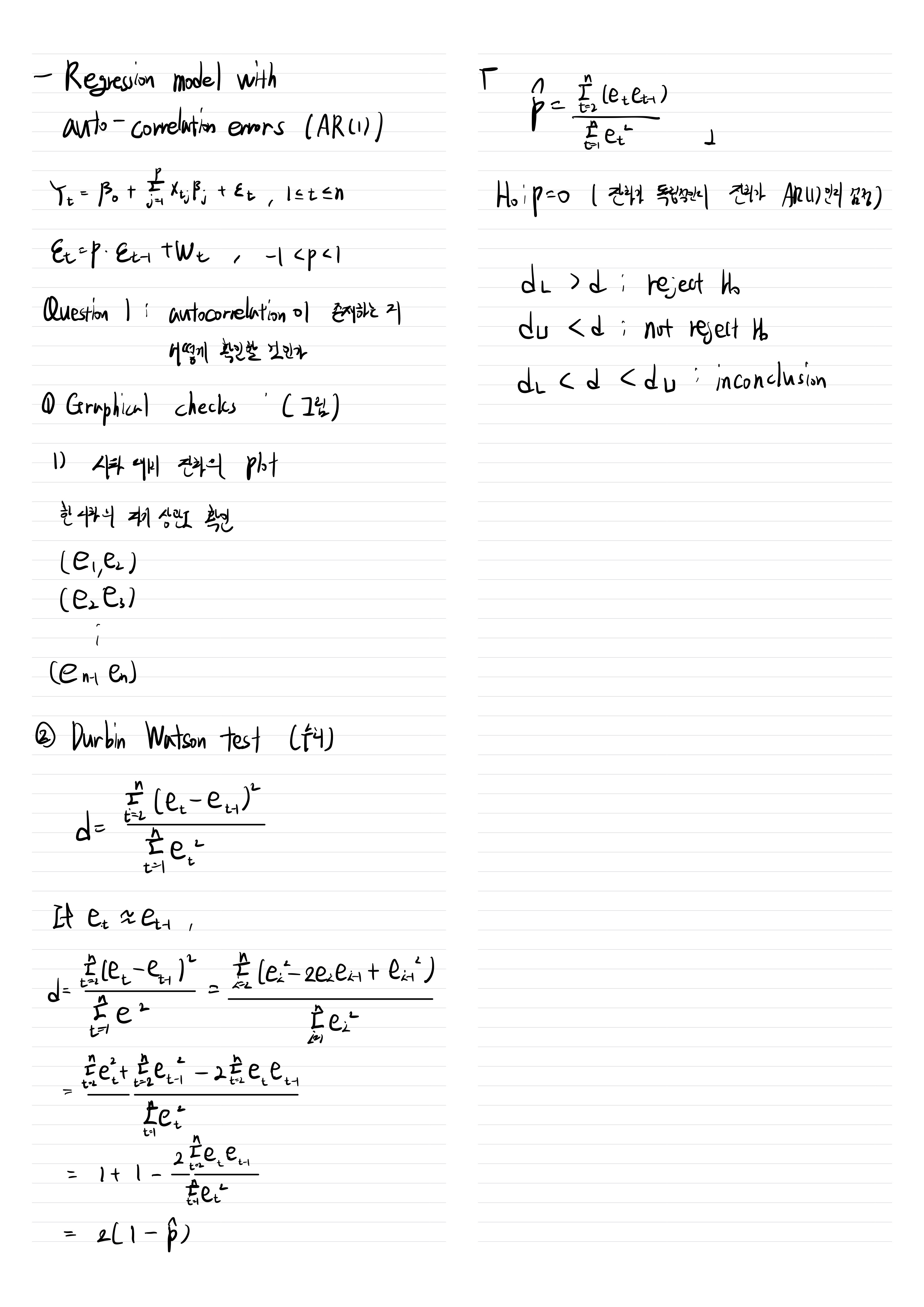
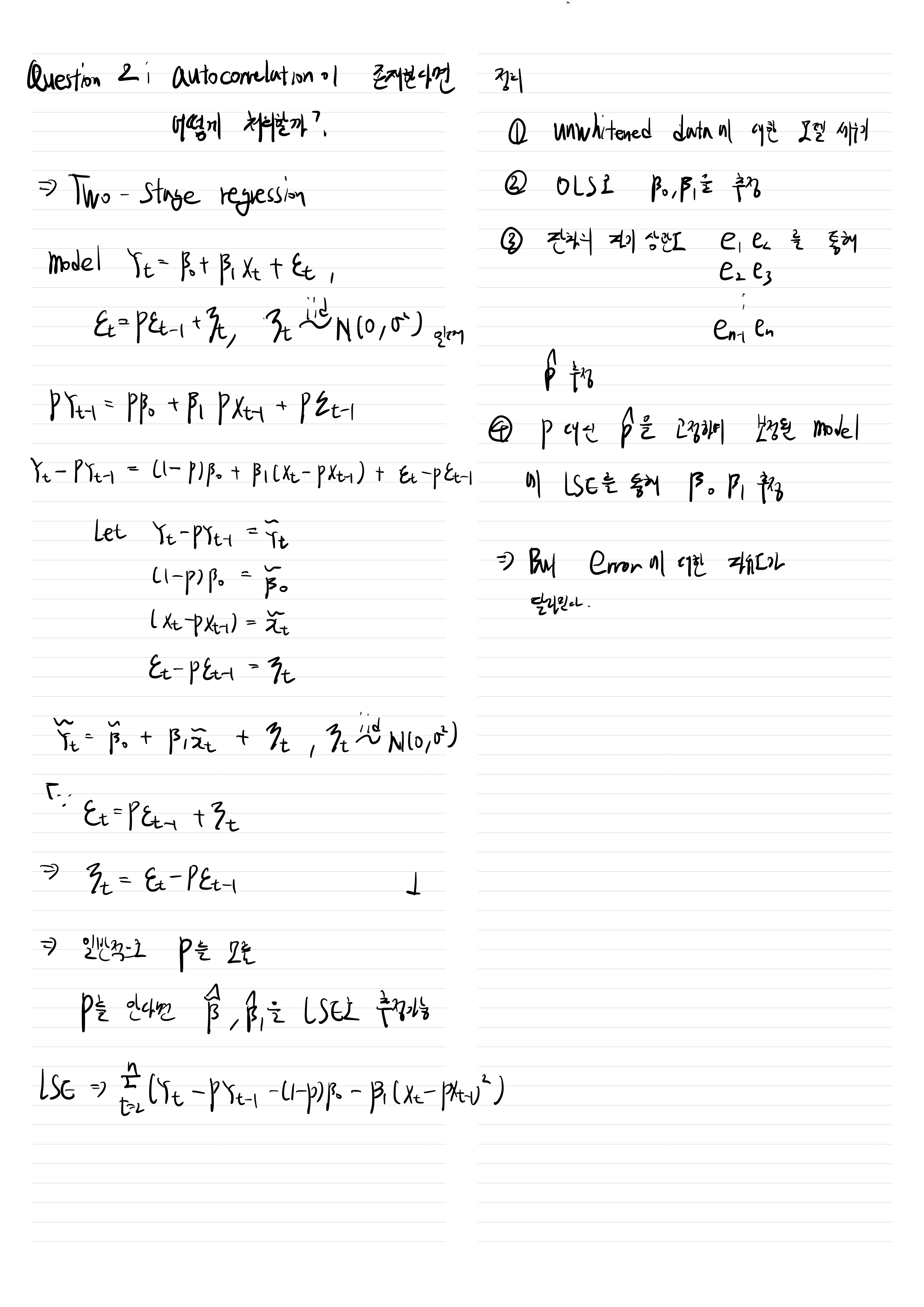
Regression model with autocorrelation errors(AR(1)) and Two stage regression

TaeTrix 2022. 11. 23. 23:49